职业教育焊接技术与自动化专业教学资源库
Русский язык
English
注册用户数:
155836
教师用户数:
6453
学生用户数:
139904
企业用户数:
3135
社会用户数:
5643
活跃用户数:
11891
首页
专业中心
专业中心
焊接故事园
中国制造2025
竞赛园地
课程中心
课程中心
素材中心
培训中心
国际认证
企业信息库
职教立交桥
职教走出去
教师风采
虚拟仿真
建设动态
资源内容丰富 支持技术先进
可持续更新的智能、共享、动态的国家级教学资源库
职教立交桥
Vocational Education Overpass
对口单招
课程标准
培养方案
衔接课程
职教体系
专升本
创新创业与就业服务
专升本
/Vocational Education Overpass
您的位置:
首页
>
职教立交桥
>
专升本
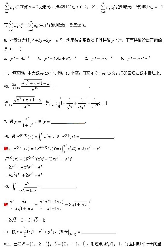
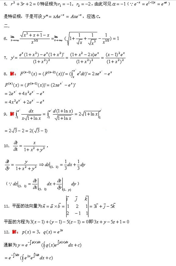
2016年成人高考专升本《数学》试题
发布时间:2018-01-21 浏览量:3975
、
Powered by
Yourphp